Binomial distribution online calculation

发布日期 : 2019-04-29 14:20:54 UTC      

分类 : Probability

计算分配率 给定一个小于n的整数k进行计算
用于计算累积函数的逆函数 计算落在区间内和区间外的概率。
set X to B (n, p), n is the total number of independent tests, p is the probability of occurrence of a certain event A at each test, 此选项计算X的分配率。 如果n> 11,则仅显示前12个概率值。在下面输入N和P,然后单击“计算”按钮:
k01234567891011
p            
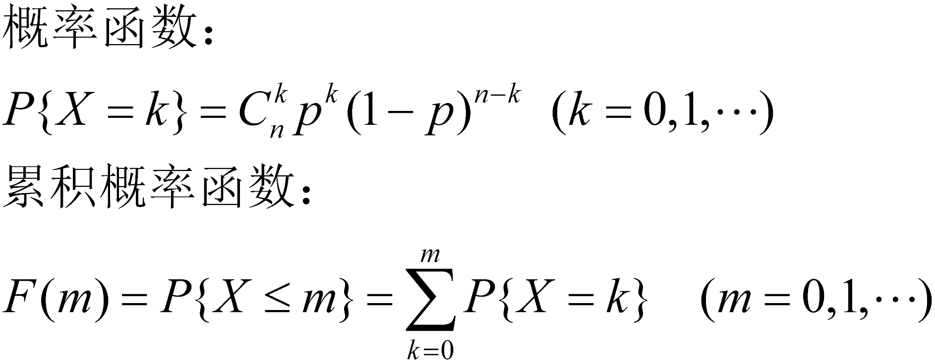
1 概率函数
1 分布函数

This page performs various calculations on the binomial distribution. The probability function and cumulative probability function of the binomial distribution are shown in the formula on the left. <br > Select the content to be calculated in the above list, then enter the relevant data in the lower left, click the "Start Calculation" button to calculate.

<img src="/static/upload/8b/8b6b322e-e893-11e4-b863-00163e022551.gif" style="width:477px; height:177px" >